Sorry, you need to enable JavaScript to visit this website.
Share

A new theory to explain the relaxation oscillations observed in the sheaths of Hall effect thrusters

21 Dec. 2025
A new theory to explain the relaxation oscillations observed in the sheaths of Hall effect thrusters

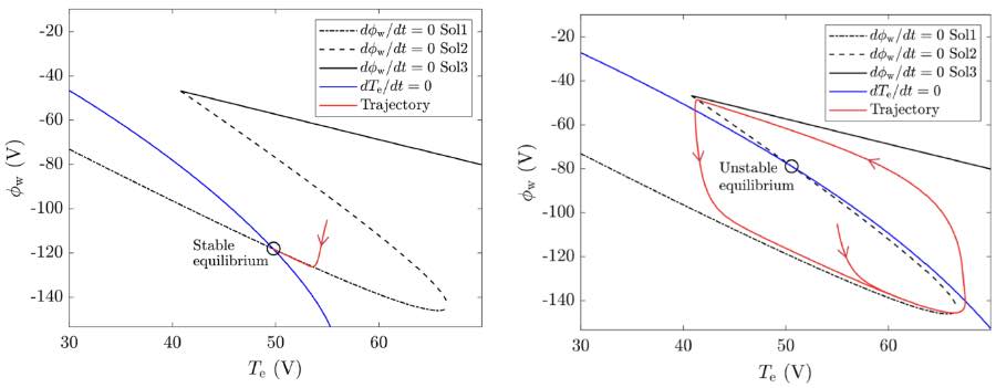
Hall-effect thrusters are used in satellites for orbit transfer and station-keeping. The LPP (Laboratory of Plasma Physics) has been conducting research in this field for over ten years and has recently focused on the instabilities observed at the plasma-wall interface in these thrusters. Plasma-wall interactions are complex and often determine the overall operating regime of a plasma device. The region connecting the plasma to the wall, where the potential and density gradients are located, is called the "sheath." Particle simulations have shown that the sheath can become unstable and exhibit relaxation oscillations of the electrostatic potential and electron temperature when secondary electron emission from the walls is significant. Pascal Chabert and Jean-Luc Raimbault, researchers at LPP, have theoretically demonstrated (Physical Review Letters, 135, 235302 (2025)) that this type of instability exists when the emission of secondary electrons depends on the energy of the primary electrons impacting the wall, and when the electron temperature Te varies within the sheath. This theory could be used beyond propulsion applications, particularly for probe diagnostics or for plasma-wall interactions in fusion reactors. The analysis also suggests future experiments to better characterize these instabilities in propulsion systems.

Read online: Chabert P. & Raimault J.-L., Physical Review Letters, 135, 235302 (2025)

 Fig. 1: Diagram of a non-isothermal sheath with secondary emission: the electron temperature, Te, varies within the sheath. 

Fig. 2: Example of stable equilibrium (left) for a low value of E0, the exciting electric field, and unstable equilibrium (right) for a higher value of E0 The theory predicts the range of electric fields for which relaxation oscillations are observed.